missing translation for 'onlineSavingsMsg'
Learn More

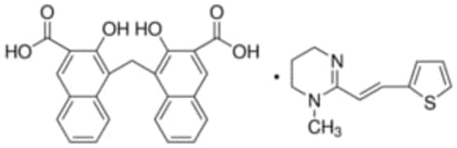
Pyrantel Pamoate, Certified Reference Material, MilliporeSigma™ Supelco™

Catalog No. 111022997
Change view
Click to view available options
:
1 g
1 product options available for selection
Product selection table with 1 available options. Use arrow keys to navigate and Enter or Space to select.
Catalog No.
111022997 1 g
Use arrow keys to navigate between rows. Press Enter or Space to select a product option. 1 options available.
1 options
Catalog No. 111022997 Supplier Merck Emd Millipore Supplier No. PHR20801G
Only null left

Pharmaceutical secondary standards for application in quality control. Provides pharma laboratories and manufacturers with a convenient, and cost-effective alternative to the preparation of in-house working standards.

Specifications

CAS 22204-24-6
Molecular Formula C34H30N2O6S
Linear Formula C11H14N2S · C23H16O6
Quantity 1 g
MDL Number MFCD00072037
Synonym Pyrantel pamoate; 1-Methyl-2-(2-[2-thienyl]ethenyl)-1,4,5,6-tetrahydropyrimidine compound with 4,4'-methylenebis(3-hydroxy-2-naphthoic acid); Pyrantel embonate
Formula Weight 594.68
Grade Certified Reference Material