Learn More
Invitrogen™ RAD17 Polyclonal Antibody

Rabbit Polyclonal Antibody
Supplier: Invitrogen™ 720269
Description
These Polyclonal antibodies are of rabbit origin developed by immunizing animals with proteins or peptides. The polyclonal antibody is purified by affinity purification from the rabbit sera generated after immunizing the rabbits with a specific type of protein or peptide. The purified antibody is tested for its functionality in various relevant research applications. The antibody is developed for Research Use Only and is non-hazardous or non-infectious in nature. This antibody is predicted to react with Monkey.
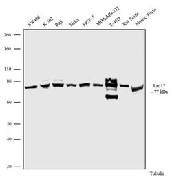
Rad17 is essential for sustained cell growth, maintenance of chromosomal stability, and ATR-dependent checkpoint activation upon DNA damage. It has a weak ATPase activity required for binding to chromatin. Rad17 also participates in the recruitment of the RAD1-RAD9-HUS1 complex and RHNO1 onto chromatin, and in CHEK1 activation. May also serve as a sensor of DNA replication progression, and may be involved in homologous recombination.Chemical Identifiers
| RAD17 | |
| Store at 4°C short term. For long term storage, store at -20°C, avoiding freeze/thaw cycles. | |
| Polyclonal | |
| Liquid | |
| IgG | |
| Human, Mouse, Rat | |
| Rad17 | |
| CCYC; cell cycle checkpoint protein (RAD17); cell cycle checkpoint protein RAD17; DNA damage checkpoint control protein RAD17; DNA repair exonuclease RAD17; FLJ41520; hRad17; MmRad24; R24L; RAD1 homolog; RAD17; RAD17 (Ser647); RAD17 checkpoint clamp loader component; RAD17 homolog; RAD17 homolog (S. pombe); Rad17 like protein; Rad17-like protein; Rad17p; RAD17SP; RAD24; RF-C activator 1 homolog; RF-C/activator 1 homolog; YOR368W | |
| Rad17 | |
| Primary | |
| Affinity Chromatography |
| 0.5 mg/mL | |
| Western Blot, Immunocytochemistry | |
| Unconjugated | |
| Rabbit | |
| RUO | |
| PBS with 0.1% BSA, 30% glycerol and 0.09% sodium azide; pH 7.4 | |
| O75943, Q6NXW6 | |
| 19356, 310034, 5884 | |
| Protein corresponding to Human RAD17 (aa 41-200). | |
| Antibody |
Specifications
| RAD17 | |
| Polyclonal | |
| Unconjugated | |
| Rad17 | |
| CCYC; cell cycle checkpoint protein (RAD17); cell cycle checkpoint protein RAD17; DNA damage checkpoint control protein RAD17; DNA repair exonuclease RAD17; FLJ41520; hRad17; MmRad24; R24L; RAD1 homolog; RAD17; RAD17 (Ser647); RAD17 checkpoint clamp loader component; RAD17 homolog; RAD17 homolog (S. pombe); Rad17 like protein; Rad17-like protein; Rad17p; RAD17SP; RAD24; RF-C activator 1 homolog; RF-C/activator 1 homolog; YOR368W | |
| Rabbit | |
| Affinity Chromatography | |
| RUO | |
| 19356, 310034, 5884 | |
| Store at 4°C short term. For long term storage, store at -20°C, avoiding freeze/thaw cycles. | |
| Liquid |
| Western Blot, Immunocytochemistry | |
| 0.5 mg/mL | |
| PBS with 0.1% BSA, 30% glycerol and 0.09% sodium azide; pH 7.4 | |
| O75943, Q6NXW6 | |
| Rad17 | |
| Protein corresponding to Human RAD17 (aa 41-200). | |
| 100 μg | |
| Primary | |
| Human, Mouse, Rat | |
| Antibody | |
| IgG |